Selecting a Brushless DC Motor or Gearmotor

July 31, 2019
1. Determine application specifications for your brushless DC (BLDC) motor.
Several factors should be considered before selecting the appropriate motor for an
application. In addition to speed, torque and duty cycle requirements are other critical
aspects—including the voltage and current capacities for your power supply; whether you’ll
be working with an open- or closed-loop system; and whether velocity, current, or position
control is required. Additional information would include the axial and radial loads on the
motor shaft, what storage and operating temperature ranges are required, and any other
environmental conditions that should be considered.
2. Is your motion a fixed value or variable?
For an application with fixed speed and load, locate the corresponding point on the speed/
torque curve of the motor you are considering and be sure that it falls within the continuous
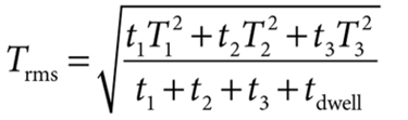
operating range. If you are working with variable speeds and loads, you’ll need to calculate
RMS torque (Root-Mean-Square). RMS torque is a function of time, which varies over the
course of the move profile:

“T” is the torque for a given time increment “t”.
If the result falls within the continuous operating range of the motor, it should not overheat.
Keep in mind that values close to the peak operating limits can only be sustained for two to
three seconds (depending on the specifications of your motor and drive platforms). You’ll
also want to know your peak torque and maximum speed to be sure they both fall within the
operating range of the motor.

3. Decide on what type of motor works best.
For relatively low-torque and high-speed applications, you can get away with using only
a motor to drive your motion. Coupling your motor with a gearbox, the same motor would
be capable of delivering higher torques at slower speeds. For example, the top drawing
illustrates the speed/torque curve of the ElectroCraft RapidPower™ Xtreme RPX22-042 BLDC
motor, delivering 42 mN-m of continuous torque at 9,000 rev/min, while the bottom
illustrates the same motor that can deliver between 130 mN-m at about 2,300 rev/min
or 2,500 mN-m at about 13 rev/min depending on if it is coupled
with a one-, two-, three-, or four-stage planetary gearbox.


4. Know when a gearbox would be needed.

A gearbox matched with a BLDC motor is the right choice for your application if your torque
requirement is higher than what your motor can deliver on its own, or if your system requires
good dynamic response when there is a significant mismatch between rotor and load inertia
(reflected inertia through a gearbox is 1/(reduction ratio)2. An added bonus to this scenario is
that the motor will be turning faster than the output shaft, resulting in less velocity ripple.
An example of this approach that can reduce overall footprint might be to use an
integrated planetary gearmotor, such as the ElectroCraft
RapidPower™ Xtreme LRPX Series. It is important to remember that the motor-only or
gearmotor decision should not be based solely on speed/torque requirements but also the
type of motion control. For position control applications such as linear actuators,
motor-only may be more desirable. For speed or current controlled applications, such
as pumps or wheel drives, a gearmotor may be more desirable. Physical size, efficiency,
cost, and power consumption all play a part in the decision, in addition to the reasons
mentioned above.
5. Know how to connect your motor to the drive.

Most applications using BLDC motor drives require feedback to correctly sequence the
current in the motor phases. Motors that come with feedback, such as a Hall effect sensor
or incremental encoder, are an ideal choice. In this way a digital driver/controller can be
used in current, velocity, or position control modes. Drives can use Hall effect sensors for
trapezoidal commutation; some drives can also use these sensors for interpolated sinusoidal
commutation.
Alternatively, an encoder can be added for more precise sinusoidal commutation. If the Hall
effect sensor signals are used for velocity loop feedback, there could be significant velocity
ripple at slow speeds. In this case, an encoder would provide more resolution, delivering
better slow-speed performance. In position control mode for a BLDC motor, an encoder is
necessary. ElectroCraft’s CompletePower™ Plus – Universal Drive provides all of the above
control methods for any DC motor type, in a single compact package.
Often design engineers are not motion specialists, in which case contacting the motor (or
motor and gearbox) manufacturer can be a wise choice. Once you understand your application
needs and are close to making a final decision, contact the manufacturer to hone your needs
to your specific application. Their staff has the long-term experience and expertise with a wide
variety of applications and can often help in those final stages.